喜讯!司美格鲁肽原料药顺利通过韩国MFDS的GMP检查
2024-09-27 10:09:48
129
近日公司收到韩国食品药品安全部(Ministry of Food and Drug Safety,简称MFDS)的通知,司美格鲁肽原料药顺利通过MFDS的GMP现场检查,检查结果符合MFDS的GMP要求,获得原料药注册证书,并在MFDS官网登记公示,这标志着公司司美格鲁肽原料药满足韩国市场的准入条件。

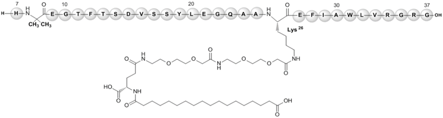
司美格鲁肽作为一款长效的GLP-1受体激动剂,可通过激活GLP-1受体,以葡萄糖浓度依赖的方式增强胰岛素分泌,抑制胰高血糖素分泌,延缓胃排空,以达到降低血糖的作用。此外,司美格鲁肽兼具减肥和心血管获益的功效,是相对成熟稳定和安全的靶点。目前FDA批准的适应症包括降糖、减重、降低主要不良心血管事件的风险。

本次司美格鲁肽原料药顺利通过韩国MFDS现场检查,表示公司GMP体系运行符合韩国GMP要求,可以为产品质量提供有效保障,这是对公司生产质量管理体系有效运行的肯定,有利于公司加强与韩国客户的合作,对公司进一步扩大国际市场业务起到积极作用。