【肽科普】从合成到纯化的绿色可持续性挑战
1
引言
多肽是由氨基酸缩合连接而成的,具有一定生物活性的化合物分子。相对于蛋白质物质,空间结构较为简单、稳定性较高,且具有较低的免疫原性。可作用于皮肤系统、肌肉骨骼系统、血液系统、心血管系统、内分泌系统、免疫系统等。随着生物技术、合成技术及分析技术的快速发展,多肽已成为一个重要的生命科学研究领域。如今多肽产品已在医疗、保健食品、化妆品、新材料等众多领域得到广泛应用,尤其是在医药领域,多肽药物正发挥越来越重要的作用。

2
合成多肽引发的功效工业革命
从发现至今,合成多肽的发展也带动了整个多肽产业的快速发展,可以说在近30年,也是功效工业革命的引领者。
合成多肽来源主要有化学合成和生物合成两种途径,相比较于生物合成存在高效表达等技术难题且成本昂贵,难以用于规模生产,化学合成的多肽拥有无与伦比的优势,包括生产成本可控,氨基酸长度可控,尤其对与小分子寡肽类优势更加明显,杂质成分可控,可制定相对准确的质量标准,易于工业化生产;同时最大特色对于一些非天然存在的多肽种类(如乙酰基六肽-8不是天然存在的多肽)可以规模化可控生产。化学合成多肽已经成为目前多肽的一种主流合成方法,尤其在药品领域,基本都是化学合成多肽,酶解与基因工制成的多肽非常少见。

化学合成多肽的研究包含固相合成树脂,多肽缩合试剂,氨基酸保护基的研究,并在此基础上推动可持续性,绿色化学方面的多肽合成研究。90年代,合成多肽的研究及应用进入空前繁荣局面。
3
绿色化学合成多肽是未来趋势
随着多肽药物研究和发展,人们对多肽的需求不断上升,多肽行业规模在快速增长,同时也对多肽制药工艺提出了更高的安全、环保要求。在现阶段,单批次千克级的合成开始变得普遍,合成和纯化过程中使用大量有机溶剂,对环保和可持续性因素产生了重大影响。其中一些包括:原子经济性极差导致产生大量危险的化学废物、多肽生产成本高昂等问题。因此,绿色可持续性的多肽合成已成为关注热点。2019年,美国化学会(ACS)-圆桌会议小组对此发表了一篇关于多肽绿色可持续合成的综述。文章中重点关注可持续性的绿色多肽合成技术,包括合成及纯化方法,从研发到生产的绿色合成探索,并分析了当前多肽合成和纯化在可持续性方面面临的挑战。目前,这些技术虽然可能还未能大规模产业化应用于多肽生产,但我们相信,绿色合成多肽必然会带来一番全新的局面,给多肽行业从业者指引新的方向,促进行业快速健康发展。

为了帮助大家更好地了解绿色可持续性合成多肽,我们对全文进行了翻译,供大家参考,希望对大家在多肽制备工艺上有新的指引。
全文翻译如下:
(由于小编能力有限,部分翻译内容可能存在误区,请大家见谅)
摘要
近年来,制药行业对治疗性多肽的兴趣与日俱增,市场上有超过 50 种多肽药物,约 170 种处于临床试验阶段,超过 200 种处于临床前开发阶段。然而,目前肽合成技术主要涉及使用大量高危试剂和溶剂的传统技术,很少关注绿色化学和工程。2016 年,ACS 绿色化学研究所制药圆桌会议将肽 API 的绿色工艺开发确定为一个关键的未满足需求,因此,成立了一个新的圆桌会议团队来解决这一重要领域。这个新团队的最初重点是突出肽合成的最佳实践并鼓励急需的创新。在这个观点中,我们旨在总结当前多肽合成和纯化在可持续性方面面临的挑战,强调可能的解决方案,并鼓励学术界、制药业和合同研究组织/合同制造组织之间的协同作用。
前言
美国化学学会 (ACS) 是世界上最大的科学学会,它是 ACS 绿色化学研究所 (GCI) 的主办单位,其使命是在全球化工企业和整个社会中促进和推动绿色和可持续化学与工程的实施。[1]为满足其加快绿色化学工业应用的重点,ACS GCI 发起了一系列工业、非竞争性合作(称为圆桌会议)。2005 年,ACS GCI 制药圆桌会议 (GCIPR) 由三家公司组成,现已成为会员 到 2019 年已经增长到 29 家。
早些年,圆桌会议专注于小分子化学,但逐渐发展到满足行业更广泛的需求和利益。这包括大分子,这是圆桌会议绿色生物制剂团队的主要关注点。[2,3]此外,一个新兴的重要领域是“中分子”的概念,通常是合成生产的,比标准小分子大,包括肽等形式。这些“中等分子”可以粗略地定义为分子量范围在 1000 到 5000 Da 之间的 API。许多肽产品符合这一定义,并且是生物制药行业中一个显着增长的领域,市场上有 50 多种肽药物,约 170 种处于临床试验阶段,超过 200 种处于临床前开发阶段。[4]然而,目前肽合成技术的发展水平主要涉及使用大量高危试剂和溶剂的传统技术,很少关注绿色化学和工程。[5]例如,大部分副产废物流是用于固相肽合成 (SPPS) 的有害溶剂 N,N-二甲基甲酰胺 (DMF) 和 N-甲基-2-吡咯烷酮 (NMP)。许多更绿色的溶剂应该在这个领域找到实用性,但需要付出巨大的努力,因为这些过程中的大多数是由制造商使用几十年前的实践操作的,而绿色化学并不是一个重点领域。导致环境状况不佳的另一个原因是色谱法的普遍和广泛使用来生产具有所需质量属性的肽产品。2016 年,ACS GCI 制药圆桌会议将开发更环保的肽工艺确定为一个关键的未满足需求,并成立了一个新的圆桌会议团队来解决这一重要领域。该小组的最初重点是突出当前肽合成的最佳实践并鼓励更多需要的创新。从这个角度来看,我们旨在总结当前肽合成和纯化在可持续性方面面临的挑战,并强调可能的解决方案。
01
化学肽合成的经典方法
1.1
液相肽合成 (LPPS)
肽的早期合成是在溶液中进行的,需要仔细操作保护基团和多个具有挑战性的后处理和分离。[6]使用这种方法学对于合成更长和更复杂的肽可能会有问题,但对于较短的肽和片段仍然有效。[7]
1.2
固相肽合成 (SPPS)
Bruce Merrifield 的开创性工作引入了固相肽合成 (SPPS),极大地简化了试剂和溶剂等非束缚物质的去除。[8-10]这种方法为自动化合成打开了大门。[11-14]因此,使用SPPS合成了许多具有挑战性的肽。[15-18]最初,以Boc法为主,随后,Fmoc/t Bu 策略获得流行,Fmoc避免了使用从固体载体上裂解和最终脱保护所使用的危险HF。[19,20]然而,SPPS远非完美,尤其是在绿色方面。典型的合成需要过量的氨基酸、偶联试剂和碱,以在每个步骤中实现最大转化。此外,Fmoc 氨基酸可以被认为具有低劣的绿色证书,因为它们的原子经济性非常差,经常被忽视的是使用大量过量的哌啶(>20 equiv)来推动 Fmoc 的完全去除。这些过程还依赖于在每次操作后使用大量过量的溶剂来清洗树脂。这导致过程质量强度增加(PMI:所有输入材料的总质量与分离产品质量的比率)和比小分子高得多的商品成本。疏水肽的合成带来了额外的挑战,因为不断增长的肽链的聚集是一个常见问题。[21,22]通常,需要使用专门的树脂、溶剂和较低的树脂负载量,从而进一步影响工艺的绿色和商品成本。[23-25]
02
肽合成的可持续性
2.1
改进经典合成方法
2.1.1 耦合剂
尽管酰胺键的形成是制药工业中最突出的转化之一,但它仍然缺乏通用和稳健的催化方法。Beller、Milstein、Gooßen 和 Sheppard 的出色报告为未来的发展铺平了道路,[26-30]但要达到成熟和可行的催化协议在活性药物成分(API)中的应用还有很长的路要走。仅从毒理学和监管的角度来看,API中过渡金属的残留水平需要非常低,通常为10 ppm或以下,这进一步增加了技术挑战。
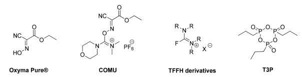
因此,目前肽合成中的大多数酰胺偶联方案都涉及使用苯并三唑衍生物。其中的关键例子是脲/胺盐 HATU、HCTU 和 TBTU;鏻盐 PyBOP、PyAOP 和 PyClock;以及碳二亚胺与 HOBt、HOAt 或 6-Cl-HOBt 的组合。[31,32]这些试剂提供高偶联效率和低氨基酸外消旋化,并且作为固体稳定,其中一些甚至在溶液中稳定。然而,据报道苯并三唑基序具有爆炸性,使得放大和在高温下工作变得困难。[33]此外,这些试剂的原子效率非常差。
不幸的是,对于肽合成过程中酰胺键的绿色形成,目前还没有通用的解决方案,特别是对于长肽。最大的挑战之一是肽的复杂性在过去十年中显著增加,许多肽产品现在含有超过 30 个氨基酸。[34]该领域过于广泛,无法在本展望中详细介绍。不断开发新的偶联试剂,但其可持续性特性并未经过全面测试。图1描述了具有更可持续性试剂的相关例子。氰基(羟基亚氨基)乙酸乙酯“oxyma pure”,[35]它与碳二亚胺结合使用,其衍生的脲盐 COMU36[36]通常表现出与苯并三唑对应物相同或更好的偶联效率和更低的氨基酸外消旋化。COMU 的限制之一是它在自动化应用中的应用,由于其在 DMF 中的不稳定性,固相肽合成非常有限。然而,最近的一项研究表明,COMU 在 γ-戊内酯中相对稳定,这使得它对于更环保的自动化固相肽合成可能更具吸引力。[37]最后,必须注意另一篇最近的出版物,报告了差示扫描量热法(DSC) 研究,将 COMU 归类为肽生产的“最不优选”试剂。[38]因此,COMU 的实用性仍然存在问题。

图 1. 更环保的偶联试剂
其他较少使用但相对绿色的偶联剂是 TFFH 及其衍生物,可原位生成氨基酰氟并已应用于许多固相肽合成,[39]以及在溶液中稳定的丙基膦酸酐 (T3P) 并且可以潜在地用于SPPS。[40]
大分子肽商业合成的现有技术仍主要使用 DIC/HOBt。然而,“oxyma pure”的使用在工业上获得了显着的吸引力。最后,对酰胺键的替代方法也提出了相关的观点,旨在提高原子效率和与各种溶剂的相容性以及其他性能。[41]这些方法中的大多数还没有达到预期的绿色,或者还不能完全应用于肽的合成,但我们相信这类研究将为更环保的解决方案铺平道路。还需要考虑这些潜在的原材料供应链新方法,例如 Fmoc-氨基酸。
2.1.2 溶剂
溶剂代表了化学过程中产生的绝大多数废物,这与固相肽合成尤其相关。因此,使用更环保的溶剂或寻找减少或回收溶剂的方法具有很高的兴趣。用于固相肽合成的主要溶剂是 DMF、NMP,以及少量的二氯甲烷、二乙醚和叔丁基甲基醚。所有这些溶剂都存在各种危害。最重要的是,DMF 和 NMP 具有生殖毒性危害,并可能受到欧洲化学品注册、评估、授权和限制条例(范围)的限制或授权,最终可能会排除这些溶剂的使用。[42]
因此,对合成肽绿色溶剂包括溶剂与其他物质的相容性需要进行进一步的研究。理想的溶剂应该能够溶解所有肽合成试剂,实现高效的酰胺键形成反应和脱保护,并使所选的固体支持物溶胀。
近年来,许多更环保的溶剂已用于肽合成。例如,2-MeTHF(2-甲基四氢呋喃)已被用于在聚乙二醇载体(ChemMatrix)上固相合成 Aib-脑啡肽五肽。偶联条件为 2-MeTHF 中的 DIC/Oxyma Pure,并在 2-MeTHF 中用 20% 哌啶去除 Fmoc 基团。[43]最近,γ-戊内酯已被用作 Aib-ACP 的 SPPS 的 DMF 替代品 ChemMatrix 树脂上的十肽。[37]在这种情况下,DMF 仍用于洗涤和 Fmoc 去除步骤。有研究者成功在聚苯乙烯和聚乙二醇 (ChemMatrix) 树脂上使用 20% 哌啶在 γ-戊内酯中成功去除 Fmoc。[44]有趣的是,该研究表明,最常见的 Fmoc-氨基酸衍生物可溶于 γ-戊内酯 >0.1 M,这使得溶剂可用于自动合成。
碳酸丙烯酯已用于溶液中的肽合成(Boc/Bn 策略)和在 ChemMatrix 树脂上手动固相合成九肽缓激肽(Fmoc/tBu 策略)。固相偶联时间比平时长(2×1 h),但在这种情况下,偶联和 Fmoc 去除均在碳酸亚丙酯中进行。[5]研究组发表了关于各种树脂在绿色溶剂中溶胀的深入研究,这对于未来的绿色肽合成非常有用。[45]
最近,对 DMF 替代 SPPS 的深入研究表明,N-丁基吡咯烷酮 (NBP) 是某些应用的合适替代品。[46]突出的缺点之一是NBP的粘度高于已建立的溶剂(如DMF),尽管提出了加热作为在合成过程中克服该问题的解决方法。然而,尽管替代溶剂具有一定的效果,但大多数示例都是针对非常短的模型肽。对于大分子肽工业化合成也有一定的启示。
对于有毒和有害溶剂使用的可持续性问题可通过在水中实现 SPPS来解决。在室温下已有一些成功的案例。[47-50]例如,EDC-HONB 作为偶联剂,通过两性离子去污剂和微波辐射偶联某些 Boc 保护的氨基酸,成功在 PEG 基树脂上合成 Leu-脑啡肽。[48]纳米颗粒形式的 Fmoc-氨基酸也已成功用于在水中进行SPPS。[51]一些有助于水性 SPPS 的水溶性保护基团和磺化版本的 Fmoc、Boc 保护基已获得相关专利。[49,52]此外,在有机溶剂中进行偶联和脱保护步骤,并洗涤非水溶剂,以提高工艺的绿色性已获得有效解决,最大限度地减少与水合成相关的副反应。[53] 同时,对危险的三氟乙酸可用非氟化产品来替代。
2.1.3 更环保的固相肽合成的树脂
树脂回收主要针对2-氯三苯甲基树脂进行了描述,但据我们所知,这仍然是一个非常小的研究领域。[54-56]许多新型绿色树脂(即基于聚乙二醇的树脂)的一个重要特征是它们在大多数溶剂中,尤其是在三氟乙酸中的溶胀程度明显更高。这使得单位质量树脂所需的溶剂大得多。与聚乙二醇基树脂相比,聚-ε-赖氨酸树脂 SpheriTide 与绿色溶剂的相容性较差。但是,它具有高负载和可生物降解性,并且树脂的起始材料来自可再生资源。[45]我们相信理想的树脂应该溶胀到足以使反应有效发生,但溶胀不会超过要求,理想情况下应该与更环保的溶剂相容。
2.1.4 化学连接
自第一个天然化学连接 (NCL) 开发以来,未受保护的肽片段,不可能或非常难以合成的长肽和蛋白质获得了合成方法。[57,58]这种合成方法可能会提供更高的产量, 更纯净的原油,减少溶剂的使用。此外,大多数连接反应是可在水性条件下进行。
天然化学连接的最新应用包括合成酶 Sortase A 和同位素标记的人胰岛素。[59-61]SPPS 主要用于连接 C 端含硫酯肽和 N 端含Cys 肽片段。[62]作为 NCL 的延伸,蛋白连接 (EPL) 涉及重组表达以合成肽或蛋白质片段。因此,带有C末端硫酯的蛋白质可以与具有 N 末端 Cys 的合成肽片段连接,可用于合成非天然蛋白质。[63,64]总体而言,自 1990 年代初期以来,学术界在绿色连接方法方面的进展一直很突出。然而,工业上的牵引力很小。可能鼓励工业采用的关键改进是改进树脂的开发和硫酯的合成。此外,开发在连接过程中将半胱氨酸脱硫为丙氨酸的绿色方法可以显着改善范围。
最后,最近的评论中介绍了几种有前途的无半胱氨酸肽化学连接形式(图2)。[62,65]


图2. (a) 天然化学连接;反应肽/蛋白质片段可以在表达的蛋白质连接中重组获得。(b) Staudinger (c) Ser/Thr 连接 (R = H/Me)。(d) KAHA (Opr 版本)
• Staudinger :带有膦的肽硫酯通过与 N 端叠氮化物反应形成酰胺键。[66,67]这种连接最近已应用于聚糖-肽缀合物的合成。[68]
• Ser/Thr :带有 C 端 o-水杨醛酯的肽通过恶唑烷中间体与含有 N 端 Ser 或 Thr 的肽形成酰胺键。[69,70]最近的例子是合成teixobactin 和类似物。[71,72]需要解决的一点是,标准的连接方案要求使用吡啶/醋酸(6:1)。
• KAHA:在C末端带有α-酮酸的肽与在N末端带有羟胺的另一个肽形成天然酰胺键。[73]最近的一个例子是合成高度疏水的抗病毒膜相关蛋白 IFITM3[74]。
2.1.5 小规模快速合成的进展
通过将试剂和溶剂限制在特定区域来合成肽,[75]在纸上的溶剂排斥聚四氟乙烯屏障,将各种试剂定位并洗涤在纸的未涂覆部分,使平行流动合成,这也易于红外辐射(IR)加热,以提高耦合效率。[76]这是用于筛选目的的可持续合成肽库的创新示例。氟混合物合成 (FMS) 已成功应用于合成三肽和五肽文库,使用分体式液相组合合成,以氟-Fmoc (f-Fmoc) 试剂作为编码标签,实现快速分离。[77,78]这是不同多肽合成的一个很好的例子 ,除了线性肽生成方面的进展,环肽文库也通过 NCL 方法获得。[79]最后,利用Cys残基和全氟芳基连接物进行聚合的基于snar的多样性导向侧链大环化反应,可以快速合成大环肽库。[80]
2.1.6 肽生产
2.1.6.1 概述
随着制药行业对肽的兴趣日益浓厚,公斤级合成变得相对普遍。[81]在生产规模上,除了偶联效率外,试剂的选择还取决于安全性和价格。试剂的等量经过仔细优化,以最大限度地减少与 SPPS 中常规使用过量投入相关的成本。为了减少多公斤级多肽生产过程中的危险足迹并降低成本,研究通常致力于用更简单、更安全的试剂代替碳二亚胺等有毒试剂。一个很好的例子是使用酰氯和咪唑进行酰胺化以生产 HIV 蛋白酶抑制剂候选物。[82]通常,会降低试剂当量并消除双重耦合,同时延长耦合时间以实现相同的效率并减少废物产生。在较小的学术规模和早期药物发现领域,通常使用 2 到 10 当量的试剂来确保接近完全的偶联,而肽的制造过程通常要求使用不超过 30-50% 的过量试剂 每个耦合。通常对于较小的肽(<10 个氨基酸),可用液相化学进行优化,尽量减少试剂浪费。然而,即使对于中等长度的肽,中间体的分离和纯化也可能具有挑战性。已有关于连续溶液相肽合成的报道。通过利用试剂的缓冲水萃取和水溶性 Fmoc 去封闭加合物,避免了传统溶液化学的纯化挑战。[83]为了实现更高的产量,混合 SPPS/LPPS 经常用于生产。例如,HIV 膜融合抑制剂 Enfuvirtide/T20 是一种 36 个氨基酸的肽,通过混合溶液和固相化学以每年数吨的规模进行商业生产。[84]其他例子包括艾塞那肽和利拉鲁肽的混合 SPPS/LPPS 工艺。[85-87]通常,开发了多种途径和工艺来应对大规模肽合成的挑战。一个典型的例子是奥曲肽的合成,一种SRIF 激动剂的环状八肽。[88]
2.1.6.2 肽合成的指标
据报道,肽生产中的废物热电联产为每公斤肽[89,90]数量级,而小分子合成的废物为数百公斤数量级。[91]
一句行之有效的管理格言是“你无法管理你不衡量的东西”。然而,尽管在肽制造中明确需要度量标准,但一直没有显着的应用。工艺质量强度 (PMI)[92]和完全 E 因子 (cEF)[93,94]已成为小分子药物合成中副产工艺废物的主要衡量标准,最近被整合为创新绿色愿望水平 (iGAL) 的基本要素。iGAL 代表了第一个使用 100 美元/mol 起始材料规则的标准化工艺废物分析,它通过药物复杂性和开发阶段调整后的工艺与行业平均水平的比较来量化相对工艺绿色度 (RPG = iGAL/cEF),因此, 它可以通过绿色化学创新记分卡输出公平的绿色工艺评级,该记分卡可在 ACS 网站上免费访问。[95]此外,记分卡通过 RPG 升级的程度和当前制造过程与早期版本相比的浪费减少量,来量化过程科学家的创新影响。作为起点,鼓励合同制造组织 (CMO) 和制药公司开始为其制造过程收集 PMI/cEF 数据。
为了了解肽与小分子合成中的共生废物量并有意义地评估其 RPG,因此应该应用 iGAL 方法。然而,分析的障碍是 iGAL 的 100 美元/mol 起始材料规则,因为购买的肽构建块通常 超过这个“商品类型”的限制,需要付出巨大的努力来确定与这些构件的生产相关的废物。幸运的是,肽与小分子不同,我们正在处理数量有限的常见构建块。因此,一个可行的解决方案是创建一个 iGAL 清单,其中包含常见肽构建块的内在 cEF,以标准化和促进分析。ACS GCI PR 正在努力在其网站上提供常见的氨基酸 iGAL 清单。肽药物的 iGAL 分析结果将在适当时候报告。圆桌会议的未来工作还将针对收集肽药物制造过程的指标数据并报告数据。
2.2
新型肽合成方法
由于合成过程中的失败模式,线性SPPS的效率普遍下降,特别是对于序列>15个氨基酸残基。[84]这对产品纯化复杂性和整体工艺收率有相应的影响。此外,疏水性氨基酸序列问题可能会限制总产量。这通常可以归因于树脂上的聚集现象。在大多数情况下,这些问题可以通过结合肽专业知识、经验和几十年的SPPS调查收集的知识来克服。然而,冗长的线性综合具有很高的内在风险,因为一个错误可能会导致全部损失。在合同制造组织中,大分子肽(>30-mer)化学合成的失败率估计约为20%。上述化学连接方法和混合 SPPS/LPPS 策略可以解决其中一些问题,但显然仍然需要替代方法和技术,以最终提高整体效率并减少肽合成和生产对环境的影响。[7,96,97]
2.2.1 流动中的肽合成
流动化学具有绿色证书,因为快速传热可减少能源使用和反应时间,从而减少整体环境影响。由于用于小规模肽和蛋白质合成的填充床流 SPPS 的迅速发展和实施,最近在肽合成[98,99]中的 SPPS 流研究的复兴已经很明显了。[100]这些成就,包括复杂蛋白的超快速合成[101]和全系统自动化[102],重新振兴了一个研究领域。在 Merrifield 的 SPPS 概念扎根于研究实验室[103,104]并专注于在线反馈、减少材料使用、和自动化。[105]到目前为止,很少有关于流动中可扩展 SPPS 的报告,[106,107]尽管正在尝试使用连续带方法来纠正这一问题,通过连续专门设计的反应器单元进料。[108]
使用 LPPS,以便快速、高效和低浪费的方式快速合成小肽片段。[109,110]对于使用低成本、通过 N 羧酸酐提高原子效率的氨基酸活化 (NCAs) 进行了调查, 结果证明使用连续搅拌釜反应器 (CSTR) 装置和水性反应介质合成二肽和三肽的高通量、生产率和PMI 显著降低 (>100 倍)。[111]
将流动化学用于混合 SPPS/LPPS 肽工艺是一项具有吸引力的选择。在树脂上生产小片段(<10-mers)可能是理想的工艺中间体或监管起始材料,这些材料纯度高,稳定,并且不需要专门的运输或储存条件。这些片段将从树脂上切割下来并通过 LPPS 与其他片段偶联。Enfuvirtide/T20 生产是利用这种通用策略的批处理过程的一个典型例子。[84]
2.2.2 绿色标签辅助 LPPS(标签 LPPS)
在 Merrifield 对肽合成领域做出开创性的 SPPS 贡献后不久,新发明方法的局限性(主要是副反应和大量试剂过量以克服固相基质扩散并实现所需的高耦合转化率)推动了对改进 LPPS 方法研究。使用可溶性“标签”,例如聚苯乙烯(PS,无交联)[112]和聚乙二醇 (PEG),[113,114]为生长受保护的肽链提供增溶锚,从而产生均匀的溶液动力学,从而可能减少对大量过量试剂的需求 SPPS。在可溶性 PS 的情况下通过沉淀或结晶实现偶联循环之间的副产物和试剂的去除(通过在 SPPS 中的树脂洗涤实现)。尽管溶剂膜存在不相容性问题,且UF 循环时间太长,但超滤 (UF) 使用膜技术也还是获得了成功。[113-115]
标签辅助 LPPS 概念在过去十年中得到了进一步发展。[116-119]这些小组从上述早期工作和先前在组合化学中使用定义结构的亲脂性“标签”获得了灵感。[120]围绕这种肽合成方法的广泛应用仍然存在问题,特别是所选“标签”是否可以为肽延伸提供所需的普遍溶解度。Chiba 等人的研究指出,在实践中,需要物理压力(使用连接的玻璃注射器)来调动不断增长的弹性蛋白肽链,使其足以进行合成。[121]Kent 等人发表了一篇文章作为回应,他们认为交联固体支持物提供的通用增溶能力意味着 SPPS 仍将是肽合成的主要方法。[122]然而,也有报道称, 与等效的 SPPS 方法相比,“标记 LPPS”方法可以将 20 聚体肽的溶剂浪费减少 12 倍以上。[123]这是通过增加锚定分子的亲脂性来实现的,锚定分子具有长烷基链作为 C 末端保护基团,从而合成肽,其中中间体通过溶剂萃取而不是沉淀分离。[123]同时,对Fmoc 去除条件进行了优化,以促进通过碱性水洗去除二苯并富烯加合物。通过在硫代苹果酸存在下使用 DBU 去除 Fmoc 以形成水溶性二苯并富烯加合物。[123]
最后,描述了一种相关的方法——基团辅助纯化 (GAP),它使用三苯基氧化膦“标签”来沉淀生长的肽链,包括回收“标签”的潜力,从而可能减少合成过程中的总体浪费。[124]
2.2.3 有机纳滤/基于膜的反应器系统
在1970年代,膜的有机溶剂相容性首次被研究,其发展[125]重新点燃了对去除肽合成副产物和试剂的研究,[126,113]PEG标签再次用于标签辅助LPPS,在耦合和纤维膜循环之间的定体积透滤系统中使用了几种不同的膜类型。这在两个小肽(4 聚体和 5 聚体)上得到了证明。同时发现了减少肽制造过程中产生的高溶剂废物负担的潜力。在高稀释肽环化反应的背景下,进一步研究和证明了这种溶剂浪费的减少。[127]
最近,该领域发表的工作侧重于对 MEPS 工艺参数的理解,以控制和减少合成中的故障模式。[128]此外,MEPS 中使用的“标签”的进一步开发已经发表,超越了线性聚合物(如 PEG、PS ) 到支链锚,目的是降低生长肽链的渗透性,从而减少通过膜的产量损失。[129]
2.2.4 酶肽连接
化学酶促合成多年来一直是一个研究领域,有望实现高特异性、[130]温和的反应条件和减少的废物流。各种连接酶(如分选酶、丁酸酶、肽连接酶或全连接酶)能够实现化学选择性肽连接。最近,EnzyPep B.V. 对其进行了改进和证明,以催化有效的肽环化和无保护肽片段的无痕缩合,用于中到大型肽靶标的合成。[131,132]这种片段缩合方法的实际好处主要是水性偶联条件下使用未受保护的肽片段,避免了阻碍更传统化学片段缩合方法的溶解度问题。胸腺素α 和艾塞那肽的合成被证明可行。[133]
2.2.5 机械化学
机械化学通过诱导的机械能(例如,通过在球磨机中研磨所有反应物)促进固体之间的反应,并且该领域自 1990 年以来一直在迅速扩大。[134-137]评估了无溶剂合成或最小溶剂合成(液体辅助研磨) 通过与 α-氨基酸、酰胺、 或球磨机中的酯类。[138-141]此外,该反应显示了使用机械化学和流动化学原理的短肽(2-3 个氨基酸)应用的机械化学演变。[142]研究表明,机械化学是一种环境友好的替代方法,可用于制备高浓度的短肽,差向异构化率低。
03
分离纯化方法的可持续性
肽的纯化和/或分离通常是制造过程的瓶颈。此外,还会产生大量高放水/低有机废物。
3.1
高效液相色谱法(HPLC)
HPLC 是肽纯化和反离子交换最常用的技术。[143]反相 (RP) 和离子交换 (IEX) 色谱法是纯化肽的首选,可提供高分辨率、稳健性和输出重现性。然而,肽与柱填料的相互作用与有机小分子的相互作用显着不同。目前市场上有用于肽纯化的混合模式色谱 (MMC) 柱,其中溶质在分离过程中与固定相有不止一种相互作用。这些相互作用不仅是疏水的或离子的,而且是疏水/离子、疏水/亲水、亲水/离子(I-IV 型混合珠)。[144]混合模式色谱可用作 RP、IEX 或正相色谱纯化肽的替代或补充技术。[145]
与 MMC 类似的技术是掺杂反相色谱法 (DRP)。DRP色谱使用不同的配体(一种离子交换配体类型和一种反相配体类型),与MMC相比具有更多优势,因为可以通过改变其中一种的掺杂浓度来改变溶质和固定相之间的相互作用机制。其次,它可以用于吸引-排斥模式,其中离子交换基团对分析物处于排斥模式。[146]最后,使用多柱逆流溶剂梯度纯化(MCSGP)色谱法证明了肽的纯化。重叠馏分的内部循环和再分离提高了产量和生产率,同时减少了溶剂消耗。[147]
与标准 RP-HPLC 相比,MMC 和 MCSGP 技术表现出更快的分离速度、更高的产量和更高效的工艺。此外,它们还减少了有害废物的产生、水的消耗,并减少了净化过程的循环时间。
3.2
超临界流体色谱 (SFC)
与传统 HPLC 相比,SFC 具有多项优势,例如速度快、可实际使用更长的色谱柱、正相保留机制以及减少有机溶剂的使用。SFC 可用于纯化多达 40 聚体的肽,包括线性和环状。它使用 CO2 作为带有改性剂(例如甲醇、乙醇、2-丙醇)和添加剂(例如 TFA 或乙酸铵)的流动相。[148,149]Zheng等人认为,流动相修饰剂的酸度是关键的,TFA添加剂的含量随多肽的不同而变化。与HPLC相比,SFC在绿色色谱方面似乎是一种很有前途的技术,因为在SFC纯化过程中使用的二氧化碳具有回收利用的可能性(到目前为止,仍是一个未解决的话题)。与目前的净化方法相比,SFC产生不到三分之一的有机废物,具有环保性质。[150]同样的工作还报告说分析时间减少了 5 倍。SFC 的其他优点包括:使用较少毒性的改性剂,实现更好的手性化合物分离度和 CO2 的特殊属性,例如不易燃、无毒,并且成本低于大多数有机溶剂。这种技术的缺点包括较高流速产生的热量可能会降低分辨率,并且没有多少涉及肽的研究可用。
3.3
液-液萃取 (LLE)
LLE,也称为溶剂萃取,是在液相肽合成中分离中间体的最古老和最广泛使用的方法。[151]多年来,为了最大限度地提高萃取效率和减少溶剂,已经开发了一系列 LLE 改进 消费和生产成本。相关的例子是连续流动系统中的液-液萃取,[152,153]水力旋流器中的微滴旋转,[154]搅拌/搅拌萃取柱[155]和混合沉降器。[156]这些可替代的LLE程序尚未广泛应用于多肽的合成,或研究结果尚未发表。
另一方面,ELLE(对应选择性液-液萃取)通常用于分离包括氨基酸在内的对映异构体。[157]此外,离子液体-有机溶剂萃取被应用于二肽和三肽的纯化,实现了良好的分离,并利用离子液体的循环特性。[158]
3.4
进行的案例研究
3.4.1 通过沉淀过程消除离子交换色谱法
由于肽的裂解和反相纯化技术的性质,由SPPS生产的肽通常作为其TFA盐制备。[159]离子交换色谱法是将肽 TFA 盐转化为药学上可接受的盐的标准方法。[160]就安进公司的 etelcalcetide(图3)而言,将肽 TFA 盐转化为最终的 HCl 盐涉及使用醋酸树脂进行离子交换层析以形成醋酸盐,然后在稀 HCl 中进行几次冻干循环以去除醋酸 并用氯化物交换醋酸盐。这种两步转化过程虽然有效,但能量和体积密集,离子交换本质上是稀释的,并且通常需要多次冻干以去除乙酸。整个两步过程在商业规模上可能需要数周时间,必要的水量和巨大的冻干能力需求是大规模肽生产的主要瓶颈,对满足商业药物需求构成重大风险。

图3. etelcalcetide的结构
Amgen 和 Bachem 合作开发了一种值得注意的解决方案,解决两步的大体积离子交换/冻干序列。[161]对起始材料和产品的表征揭示了两者之间的显着溶解度差异 etelcalcetide-TFA盐和所需的盐酸盐;TFA 盐在2-丙醇中的溶解度为100 mg/mL,而盐酸盐在同一溶剂中的溶解度为<1mg/mL。通过利用小分子溶解度和结晶工程原理,该团队能够设计所需的 HCl 盐在 2-丙醇水溶液中的受控沉淀。将 etelcalcetide-TFA 盐作为 2-丙醇水溶液中的溶液加入溶液中HCl 在 2-丙醇中的浓度;然后通过过滤分离 etelcalcetide-HCl。最终结果是一个将 TFA 盐直接转化为 HCl 最终形式的实用过程。新的、更环保的分离工艺完全消除了离子交换色谱和每批原料药 12 个冻干循环。通过消除对离子交换的需要,该过程的水负担显着降低;用于临床生产的原始离子交换工艺每克原料药需要超过 3 L 的水。该工艺在商业规模上能够在标准反应器和过滤干燥器中进行。直接盐转化工艺使 etelcalcetide 的生产能力提高了 10 倍。
3.4.2 环肽的无色谱纯化
大环肽在治疗领域非常重要,因为它们的大小和三级结构使其成为调节蛋白质-蛋白质相互作用的理想选择。[162]这个简短的案例研究将强调通过化学创新提高纯大环肽分离的重要进展。[163]通过取代溶剂密集型色谱,该技术极大地提高了获取大环肽的绿色性。这是值得注意的,因为与色谱相关的溶剂使用占 PMI 的很大一部分。在这项由 BMS 创新资助资助的 Bristol-Myers Squibb 研究中,全长合成肽在 N 末端用正交双模式接头进行修饰,该接头能够首先实现线性肽的固相“捕获”,然后是碱基 介导的环化和同时“释放”所需的纯肽大环化合物。应变辅助叠氮化物-炔烃环加成 (SPAAC) 被证明是一种通用的正交捕获技术,可广泛应用于各种大小的各种目标肽(5-20 元件演示)(图4)。

图4. 捕获释放纯化的“逻辑门”方法
04
结论
近年来,减少尖端药物化学合成生产中的复杂性,对环境影响的创新方法,两者相匹配的研究已成为研究热点。限制化学品对人类和环境的负面影响是全球努力的重要部分,对于研究和生产中常用的试剂、溶剂和树脂的绿色安全性有了更高的标准。目前学术界和工业界在更环保的肽合成和纯化领域都取得了相关进展。然而,绿色肽化学仍然是一个相对较小的研究领域,其中许多进展需要很长时间才能应用于肽的产业化生产。因此,不仅要在绿色肽化学领域投入更多资源,而且需要在学术界、工业界、制药业和 CRO/CMO 之间建立更多的协同效应。最后,重要的是决策者要调和这样的想法,环保的方法不仅对环境更好,而且在时间和成本方面也会更加有效。
原文链接:DOI:10.1021/acs.joc.8b03001
不可否认,可持续与绿色化学合成多肽将成为未来发展的趋势,与此同时,多肽制备工艺将得到进一步发展和提高。作为多肽行业的从业者,湃肽已经采取了一些通过实施绿色化学来减少对环境影响的步骤,助推多肽行业健康发展。未来,我们也将不断的关注、研究、尝试新的技术发展方向,并从中选择适合自己的道路。
参考文献:
Albert Isidro-Llobet, et al., Sustainability Challenges in Peptide Synthesis and Purification: From R&D to Production. The Journal of Organic Chemistry.2019, 84, 4615-4628.

扫码关注我们
解锁更多资讯